On our road trip through the various elements of functional behavioral assessments (FBAs) and their emerging behavior support plans (BSPs), we find ourselves at a crossroad. We’ve identified the function of a student’s behavior and laid a foundation for the behavior support plan we want to implement. We can either move full steam ahead with the plan as designed, or we can take a day trip with our student, their family, and their teachers to explore how well the plan fits within the context.
I know this sounds like a “choose your own adventure” story. I’m here to tell you, we really should take this little detour. If we’ve gone through the work to define the function, identify replacement behaviors, design interventions, and draft the plan, the last thing we want is the plan to fail because we never asked if this is feasible. The way an intervention works within a setting is called the plan’s contextual fit.1 We can’t define the contextual fit for someone. Contextual fit is local, personal, and defined by the people who will be implementing, supporting, and receiving interventions. Not only is it good practice to get agreement from everyone involved, it’s also a big reason why plans succeed or fail.
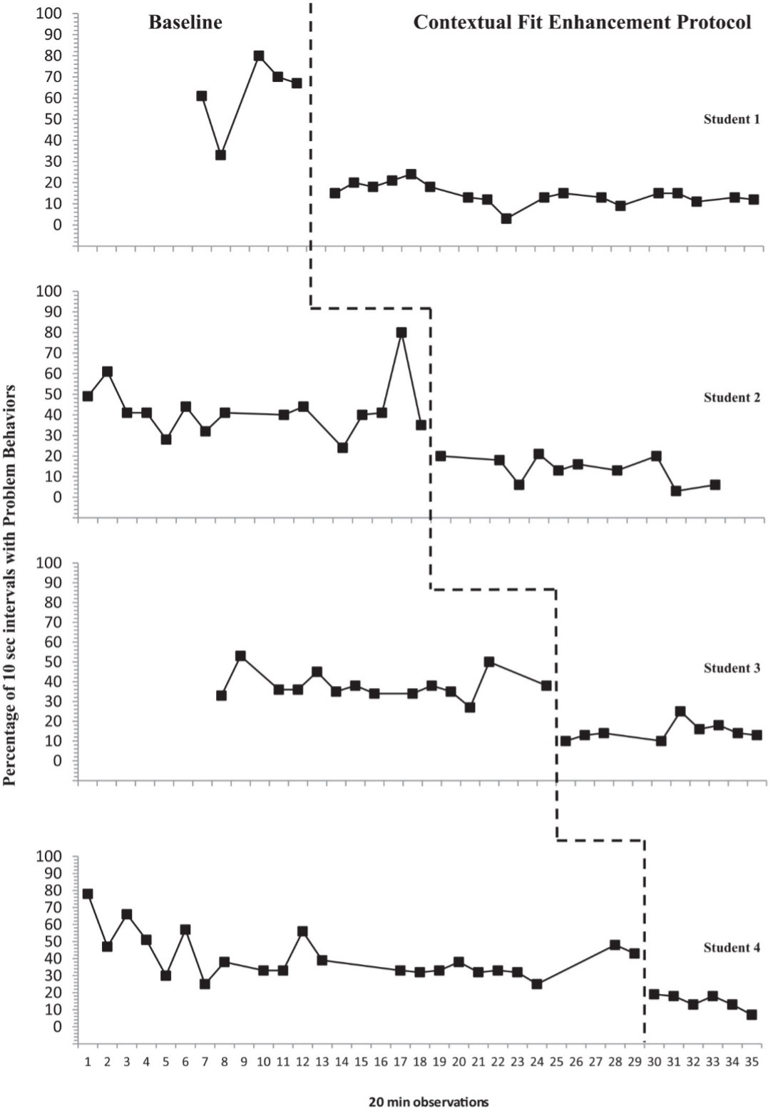
In one study, researchers reviewed four students’ behavior support plans and went to their classrooms to observe their behaviors. Researchers found none of the four plans fit very well within the context — teachers hadn’t implemented many parts of the plan, and student behaviors weren’t improving. When they modified the plan to fit the context better, teachers implemented more of the plan and the students’ behavior improved.

The sweet spot for improved outcomes sits in that balance between doing what we set out to do and doing it in a way that feels natural to us. How do you know when a plan has a good contextual fit in your school and with the students you support? Here are six contextual elements to match with the plan you design. 1,2,3
Match With Values
At Tier 3, we focus on individual students. Beyond this one person are the people in their support system — their families, teachers, social workers, and anyone else playing a role in the plan you design. Each member comes with a set of values and a purpose they bring to that work. For this plan to succeed, everyone needs an opportunity to share whether the plan feels valuable to them or not. Now, the value I see doesn’t have to match yours. What’s important is that we both find value in the plan and its strategies before we can move forward.
Questions to evaluate a match on values:
- Do you see a need for this plan?
- Which team members participated in developing the plan? Are there voices missing?
- Are the strategies defined in the plan consistent with all team members’ personal values?
- Are there parts of the plan that don’t sit right with some of us?
Match With Shared Understanding
If I described a student’s behavior as disruptive, which specific behaviors comes to mind? What are the odds we would describe the same behaviors? When it comes to the behavior support plan you define, it’s important to get specific. For example, if one of the components of the plan gives students the option to take a break, does everyone know what that means? Would we all agree? The more detail we give in the plan, the more each of us can imagine it working in our own context.
Questions to evaluate a match on shared understanding:
- Have we defined the plan’s core features?
- Have we defined the strategies we’ll use to achieve those core features?
- Have we clearly defined who will do what, by when, and why?
Match With Skills
Once we know what we’re expected to do, it’s time to check if we all know how to do it. Just as everyone comes with their own set of values and understanding, they also come with their own set of skills and expertise. Training can take lots of forms — online, in-person, multi-day, or a combination of all three. Whatever you decide to do, make sure folks don’t just get information; give them opportunities to practice what they learned before they implement it live in their classrooms.
Questions to evaluate a match on skills and knowledge
- Does everyone know how to do the strategies outlined in the plan?
- Would anyone benefit from training?
- Are the required skills reasonable for the people involved?
Match With Effectiveness
Can we all agree we want our strategies to be a good use of everyone’s time? I think we can. When I say, “good use,” I mean these should be strategies that are dignifying for the student, evidence-based, and aligned with the function of their behavior. They also need to be practical. Time is a valuable commodity. If an intervention can’t be done naturally in a couple of minutes, I’m less likely to try it. If it doesn’t fit in the budget, it won’t get off the ground at all.
Questions to evaluate a match on effectiveness:
- Have the strategies been effective in the past?
- Do the strategies align with the behavior’s function
- Are the time and effort to implement the strategies reasonable?
- Is this approach as efficient or more so than what we’re currently doing?
- Could we simplify the approach in any way?
Match With Resources
We need to talk about logistics. A behavior support plan is conceptual until you figure out how it will work in practice. It’s important to design a plan that’s considerate of the time, funding, and materials available to you. I love when we can pull something off by tweaking something we’re already doing. If I need to implement an entirely new practice, I need time to think through how it might disrupt my current systems, and to make a plan for how everything can work together…or not.
Questions to evaluate a match on resources:
- How much time will it take to implement?
- Are there new materials or resources we need to buy to support the plan?
- Have we included all the people we need to implement this plan?
- Can we offer necessary training with internal resources or do we need to invest in external resources?
Match With Support
Related to a match on resources is this element: administrative support. If the answer is no to any of the resource questions above, an administrator who can approve what you need is going to be essential. When teachers need training, administrators can make sure they have the time available to attend those sessions. They can schedule coaches to observe student behavior in classrooms. Administrators play an important role in creating inclusive spaces where teachers, students, and their families feel supported. If you don’t have an administrator on your team, ask them to join you.
Questions to evaluate a match on support:
- Is an administrator part of your student’s support team?
- Do you have approval from leadership to implement the plan?
- Are there additional resources (time, funding, materials) you need to implement the plan?
- Will administrators play a role in monitoring the plan’s success and fidelity?
At this point in the journey, the success of a behavior support plan depends less on how well it’s written and more on how well it fits. Taking the time to check contextual fit ensures the plan is realistic, supported, and meaningful for everyone involved…which means we’re more likely to do what we said we’d do! By matching the plan’s core elements with our team members’ values, shared understanding, skills, effectiveness, resources, and support, we transform a well-designed plan into one that actually works in practice.
References


